Groupe Photo Malraux - GPMT
Bienvenue sur notre site d'amateurs de photographie
TOUL
- Meurthe et Moselle
-
https://www.gpmt.fr
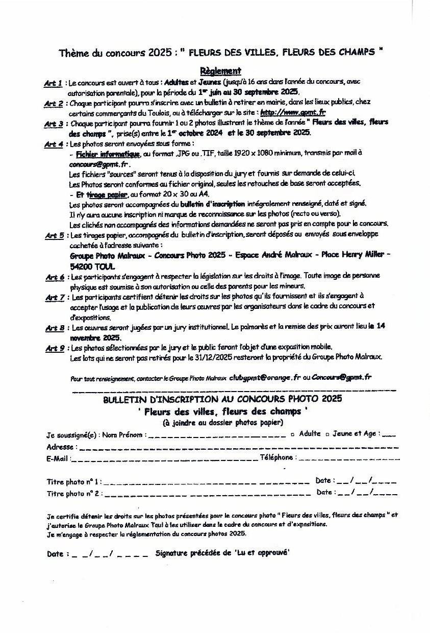
CONCOURS 2025
Fleurs des villes,
Fleurs des champs
Participer au
concours 2025
Vous êtes ici :
Accueil
Les activités
Concours
Concours 2025
Concours 2025
Connexion GPMT
La connexion est autorisée seulement aux personnes habilitées..
Menu Activités
Ateliers
Concours
Expositions
Manifestations
Réunions
Menu Documentation
La photographie
L'Image
La Prise de vue
L'Analyse
Le Post-Traitement
La Publication
Ressources extérieures
Menu Association
Informations légales
Statuts
Règlement Intérieur
Sites Internet
Contacts
Déclaration d'existence
Images aléatoires
Autres informations